How To Find Remainder Without Dividing

Long Division Calculator With Steps To Solve Inch Calculator


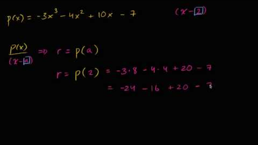
Remainder Theorem Finding Remainder From Equation Video Khan Academy

Remainder Theorem Examples Video Khan Academy

Long Division Video Lessons Examples Solutions

What Is Remainder Remainder With Long Division Examples

10 The Remainder Theorem Of Synthetic Division Polynomial Long Division Part 1 Youtube

Long Division With Remainders Explained Front Porch Math
Remainder Theorem Finding Remainder From Equation Video Khan Academy

Quotient And Remainder Dividing By 2 K A Power Of 2 Geeksforgeeks

Remainder Theorem Method Examples

Long Division Calculator With Remainders

Algebraic Long Division Of Polynomials Quotient And Remainder Worked Example 1 Youtube

The Remainder Theorem Example 1 Youtube
![]()
Lesson Polynomial Long Division Without Remainder Nagwa

Division Algorithm For Polynomials Calculator Solved Examples Cuemath

Long Division Of Polynomial By Binomial With Remainder Youtube

How To Find Remainder Of Polynomial Divided By Quadratic Function Without Division Youtube

Remainder In Math Definition Example Video Lesson Transcript Study Com
![]()
Question Video Finding A Quotient And Remainder From A Polynomial Division Nagwa
